皖南电机百科:如何改变电动机使用频率
皖南电机:目前市场上电动机频率基本50Hz、60Hz两种,当额定电压与使用电压相同时,60Hz电动机是不能直接用于50Hz电源的,因为:第一、激磁电流增加,将使电动机功率因数下降;第二、每极磁通增加,铁心损耗增大,激磁电流增加,绕组铜损耗增大,这两损耗都使电动机效率降低,温升增高;第三、电动机转速降低,散热变坏,温升增高。
2.1 若要求转矩不变,则 ,
例如,额定电压450V/60Hz的电动机可以直接接在380/50Hz电源上运行,如果保持电动机的转矩近似不变,则输出功率应降低16.7%。
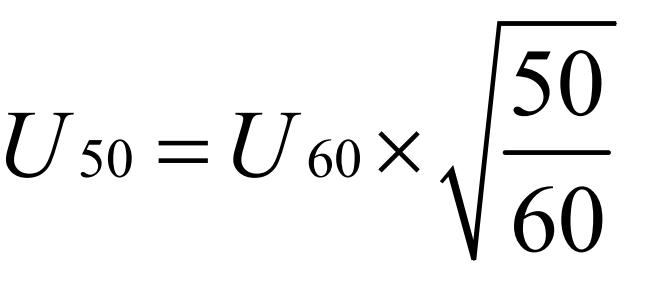
2.2 若要求功率不变,则
![]()
例如,额定电压420V/60Hz的电动机可以直接接在380/50Hz电源上运行,这时电动机的输出功率保持不变。
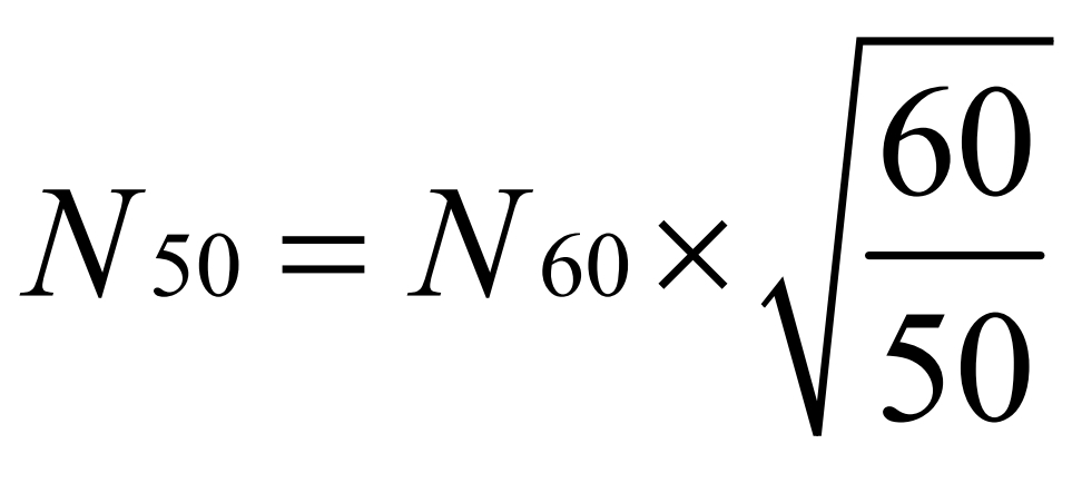
电动机电压可以用调压器实现,也可以拆换定子绕组实现,在拆除原绕组时应做好原始记录,线规、每圈匝数、并绕根数、节距、并联支路数等。当使用电压与原电压相同时,重换绕组简易计算如下,则 :
N50-50Hz时绕组每槽导体数; N60-60Hz时绕组每槽导体数;
导体截面积要相应减少10%左右,如果电动机原来槽满率不高,改成50hz电机时,导体截面积可以不变,这样拆换绕组后,电动机的输出功率基本保持不变。
本文由安徽皖南电机股份有限公司原创发布,转载请注明出处
最新产品
同类文章排行
- 皖南电机知识小讲堂汇总
- 电源电压降低引起电动机跳闸原因分析及处理
- 一种电动机再起动方法在石化企业中的应用
- 防爆电机和普通电机的主要区别
- 抽油机电机的节能标准改造探讨
- 高效节能电机在电厂中的应用研究
- 盐化工企业电动机能效提升技术探讨
- 电机型号参数组成、含义、举例大汇总!
- 电机振动异常的十个原因及解决办法
- 皖南电机知识小讲堂4:《电动机振动原因分析和解决办法》
最新资讯文章
您的浏览历史








